Das Fulcrum MIDI schickt über den MIDI Out Control Change (CC) Nachrichten. Für jede der beiden Achsen können die CC-Nummern separat eingestellt werden. Viele per MIDI-CC steuerbare Geräte haben eine MIDI-Learn-Funktion und übernehmen bei deren Setup einfach die empfangenen CC-Nummern. Es gibt aber auch ein paar Geräte, bei denen CC-Nummern fest mit bestimmten Funktionen verknüpft sind.
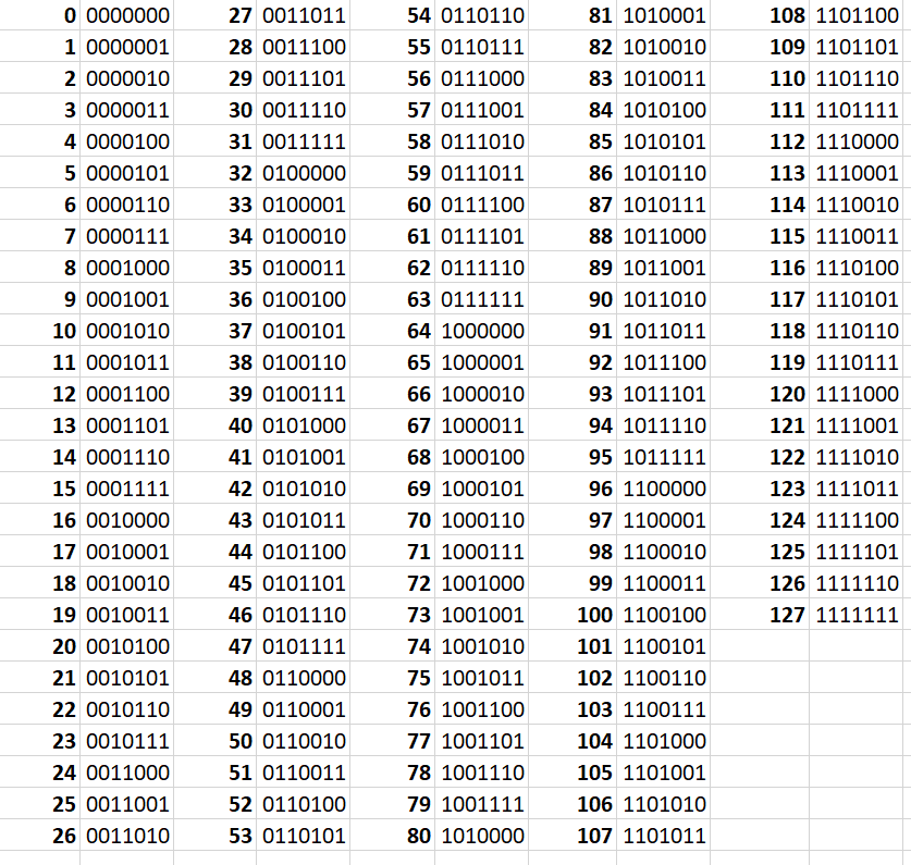
Für diesen Fall muss das Fulcrum auf die richtigen CC-Nummern eingestellt werden. Das passiert mit den kleinen DIP-Switches auf der Unterseite des Geräts. Die Nummern werden dabei binär kodiert. D.h. wenn ich z.B. bei einem Kemper den Amp Gain mit der Vor- und Zurück-Bewegung steuern möchte und den Delay Mix mit der seitlichen Bewegung, muss auf dem linken DIP-Switch-Block die Zahl 72 und auf dem rechten die Zahl 68 als Binärzahl eingestellt werden.
Dazu einfach aus der Tabelle die Nummer raussuchen und die binäre Zahl daneben so auf den kleinen weißen Schaltern einstellen, dass eine „1“ den Schalter nach oben darstellt und einen Null heißt Schalter nach unten. Es gelten die 7 rechten Schalter. Der allererste Schalter jedes Blocks wählt den MIDI-Kanal zwischen 1 und 2 aus. Schalter unten ist hier der MIDI-Kanal 1 und Schalter oben der MIDI-Kanal 2.

